信扫描序列号:s3321
写信日期:1993-12-26
写信地址:辽宁省本溪市
受害日期:1937、1938、1940
受害地址:河北省石家庄市高邑县、河南省郑州市
写信人:宋贤志
受害人:庄树蕙
类别:轰炸(AB)
细节:日本军用飞机轰炸造成庄树蕙的母亲死亡和严重的财产损失,特此再次寄来庄树蕙的口述材料和索赔书要求日本赔偿所有的损失。
您好!
耽误您的宝贵时间,实在抱歉!
我曾于今年初给您寄去民间受害者庄树蕙老人在中日战争中的遭遇的详细材料,时至今日,没有听到一点消息。前不久,购到一本名为《国人依法起诉侵华日军》一书,了解到一些情况。故再给您寄去《平民受害者向日本国索赔书》及《民间受害者庄树蕙口述材料》,并敬请您在北京代理有[关]事宜,我们表示对您非常感谢,同时对您致力于此事业表示钦佩!
再次感谢您的帮助!
此致
祝您身体健康!
宋贤志
1993.12.26
民间受害者庄树蕙口述材料
我名叫庄树蕙,现年88岁,是家庭妇女,小学文化。我丈夫名叫荐子良和我同岁,早已去世。他生前,解放前曾当过国民党军官,因我父母没有儿子只有我这一个女儿,我父早年去世家中无人照管,因此我和丈夫同老母亲在一起生活。这时我家就在吉林省珠河县一面坡镇,我26岁就是九一八事变,这时一面坡镇一些爱国人士就纷纷起来抗日救国。有一面坡商务会长的儿子,叫车令云,他原是哈尔滨的中学校长,还有吴校长,还有高中学生和老师组成一个学生大队,是抗日救国的。车令云是大队长,吴校长是[副]大队长,有一百多人。后又有地方连庄会和救国军等都合在一起共一千多人。还是抗日救国学生大队名称,大队长还是车令云,[副]大队长吴校长。在这时因商务会车会长是我父生前的好朋友,因此我妈把我丈夫介绍给车会长求他帮忙,给我丈夫找个工作,车会长就和他儿子说了,车令云就留我丈夫当他大队的教操教官。
我27岁时学生大队就出发准备投奔依兰镇守史李度,没到依兰就听说李度队伍已开往苏联奔新疆走了。无处投奔,吴[副]大队长他到玻璃县去找张[副]司令,名叫张纯喜。他把学生大队编为63军91师骑兵团,这是又派来的新团长,我丈夫编为骑兵团少校和中校团[副]后又当过营长和连长、[副]官等。由张[副]司令准备带队进关时,我丈夫抗日不在家,小日本就占了一面坡,小日本三日二头的上家找抗日军问这问那的。家中只有我母女二人相依为命,吓的我天天躺在炕上蒙着被不敢梳头洗脸,装病。我妈更吓得不得了。我丈夫又不在家这个苦难的生活实在是难过下去,无依无靠。当年张[副]司令已准备好了,马上带队进关,我丈夫就请假回家。就换上便衣看望我母女,告诉队伍进关的事。黑天到家我妈说你不能走,把我母女二人扔在家是不行的,我母女现在过得什么生活,成天害怕就像老鼠一样藏在暗处几时是个头呢。如有坏人向日本人报告,我母女就会被日本人杀了。我丈夫说我是坚决走的,我活着是中国人,死了是中国鬼,亡国奴我是一天也不当,没有国焉能有家呢。我回家时许多人劝我别回队伍啦,这一走不定[哪]年[哪]月才能回来,扔下妻子和老人怎么办。我都不听。我妈一看我丈夫是非走不行,意志坚决,无法再劝了。我和我妈俩就哭起来了,最后我妈说,你实在要走我也拦不住,但是你得把我女儿带走,因她年纪小,如果吓坏了他那就要了我的命啦。只是我一个老太太在家就豁出这条老命就算完了,你俩快走吧。于是我母女痛哭的像泪人一样难舍难离,不知何时才能见面,心中好似利刀割肉一样难过。当日晚我和丈夫步行走到天亮,找到队伍。从这时张[副]司令就带队进关了,从吉林省地区往蒙古大草原经过,这时正是农历十月至十二月末,正是冷冬数九的大冷天,五六十里地才见三四户人家。他们不种地,只靠养牛、马、羊散放满地跑吃野草。他们当地人吃的就是这些肉类和草米。但他们吃水是和牲畜同吃一个大水泡的水,水像马尿味难用。我正怀孕不吃牛、马、羊肉其味熏人,每天不吃不喝还不行,只少用点还反胃,连冻代饿浑身无力都站不起来了,自己觉得非死无疑了,只好躺在军队拉给养和被服的大车上。在休息时没有房屋,只好在野地上休息。其队伍也是就地而卧,天气是那样的寒冷,冰霜吸人,冻的睡不着,军队无法只好起来割草取暖,在这种环境中生活体弱的官兵死了有百分之十。
我28岁时队伍开到张北县时,全团缩编为两个营。我丈夫是二营营长兼六连连长。又到张家口蔚县等地,我丈夫这个营又调到本旅一团二营当营长。当年8月我丈夫就退职了。我和丈夫一同到怀束县本军参谋长家,他又派我丈夫到91师273旅546团,团部当中尉[副]官,这时队伍在赵县驻防。这当时我求人把我母亲由原籍接到赵县一起生活。在赵县驻防四年中我自己成立一个大粪场,雇4个人,每天给五个连队清扫厕所的粪便,送到粪场里,晒干后收到场房里,每年只在春、夏、秋季卖粪。山东济南都来买粪,我自己在粪场经营一切,实在是辛苦极了,但也积攒下一笔可观的钱财。我省吃俭用,从不舍得动用那笔财产的一分一毫,目的是等赶跑了日本人后重建家园时动用。
我32岁时小日本打进关里侵占了卢沟桥,上级命令后防留守处有事要先通知家属,做准备,又命令全师到河北省固安县和日本军作战。作战失利,部队往湖南省退却。上级通知留守处和家属准备先行到河南。家中只有我和妈、二个孩子。河北省赵县不通火车得雇大车到高邑县火车站,我母亲年纪大,两个孩子一个五岁、一个十七个月,我既要照顾老人和孩子,又要来回搬运六个行李包,费了九牛二虎的力气,好不容易才挣扎到高邑县。到了高邑县火车站,我母亲抱着七个月的男孩看行李包,我往军用火车上搬运行李,大孩子跟我来回跑。突然,日本飞机来轰炸火车站,又是炸弹,又是机关炮和机关枪直往下投。我和大孩子跑到票房外边,算是躲过去了一场灾难。等飞机走后,发现我母亲和七个月的男孩被炸死,行李也炸飞了。见到此情此景,我万分悲痛,觉得没有脸面见丈夫,便要碰死在这个车站上。大孩子拉着我直哭。这时过来两个人拉着我说,你不要这样,好好照顾这个孩子吧,一起的家属也跟着流泪。我想,我母亲和孩子被日本飞机炸死了,我活着还有什么用,但又想我死了大孩子无人照看,怎么办,越想越痛心,心里火烧火燎的。那几天滴水未进,米饭未沾,天天睡不着觉。落得个精神失常和心脏病的惨局,六十多年啦,一直没有治好。钱也花了无数。
我那被炸飞的六个大柳条箱内有狐狸皮、西羊皮、紫羔皮、大长袍各一件,黑呢子大衣两件,驼绒女大衣一件,火狐狸围脖五条,水獭帽子一顶,苏联式毛朝外女式皮大衣一件,还有被褥、单衣、棉衣等不计其数。
我33岁那年,留守处和家属又从河南省临颖县迁移到凤翔县。到了郑州火车站换车,下了火车,留守处的人帮家属找旅社,搬东西,正在这时响起了空袭警报,紧接着又响起了紧急警报。当时规定紧急警报响时,所有人立即就地卧倒,地方警察和部队持枪维持秩序。我大儿子吓得直哭,往门外就跑。我一看儿子往外跑就顾不上东西跟着追了出去,八架飞机对郑州火车站进行了轰炸,我抱着孩子一动也不敢,车票房被炸坏炸平了,许多旅店和大饭店也被炸毁了。飞机飞走后很长时间才响起了解除警报。我背着孩子回到我住的旅社一看,旅社已经成为一片废墟。一见此景,我便哭了起来,我的命真苦,为什么这样的事情总叫我摊上呢。这一次轰炸虽然没有人伤亡,但是我的财产全部炸没了,其中有黄金首饰五十二小两,还有用银大洋换的银大洋票子两千三百元。金子为什么没有成正的呢?因我丈夫见钱就想花,我卖一回大粪钱立即就到金店,可钱实些金首饰,这样我丈夫就无法动用此钱了,也便于积存。银大洋为什么换银大洋票子呢?因军队是流动生活,为了携带方便,才换成银大洋票子。这些财产,都是我的命根子啊!是我辛辛苦苦积攒下来的,我平常是舍不得用的,一下子全让日本飞机轰炸光了,怎能不让人痛心疾首呢?怎能不叫人痛恨日本人呢?这一次轰炸又加重了我的心脏病和精神病。
我35岁时,我丈夫的部队在江西省樟树镇、康头间、后门红等地和日军作战非常激烈,部队顶不住了,上级命令退到湖南省保庆县休息,整编队伍。当时我丈夫被编到豫南师管区补充第一团任十二连连长,训练新兵。后来接到上级命令,全团往汉口送新兵没回时,前方吃紧,上级命令留守处和家属转移到河南省韩营子。那是一个只有一百多户人家的寨子。在韩营子又遇到了一次日本飞机轰炸。这一次来了三架飞机,当地老百姓都不害怕,因此地是个小地方,每次飞机由此飞过都不轰炸。因此他们都忽视了警惕性,没想到这次真的轰炸了。当地老百姓死伤不少人和牲畜,房屋也剩不几间了。但我当时是很害怕,因我叫飞机轰炸吓破了胆。那时我又生了一个小男孩,才11个来月,当飞机没飞来前,我的二孩子被别的家属老董太太抱出去玩,飞机来时,我急忙领着大儿子找老董太太去,当时人慌马乱的也找不着,可给我急坏了,这当时飞机就往下扔燃烧弹轰炸,我当时领着大儿子正在一个大壕沟处,立即躲在壕沟里,旁边的杨树都被轰炸倒了,我母子二人算是躲过这次伤亡。飞机走后,我又领着大儿子去找老董太太。在这人哭马叫乱成一片的环境里,好不容易才找到他们。当时我二儿子正睡在老董太太的怀里,我以为是给炸死了,给我吓坏了。老董太太看我吓的这个样子离老远就说孩子没事,睡在我怀里了。这我才放心了。然后我们回到住处,发现房屋被炸了,房屋烧成废墟。这次我损失了三个柳条包,损失黄呢子男大衣一件、黑色呢大衣一件,还有缎子棉衣、单衣、被褥几件等等。其余的记不清楚了。
日本侵略中国这十多年中,我没有得到一点安静。丈夫在前方抗日,我自己领着孩子在后方东躲西藏,能活下来就很不容易了。我痛恨日本人!日本飞机的轰炸夺走了我母亲和我七个月儿子的生命,损失了大量财产,我要向日本人讨还血债!日本人不仅给我造成了物质损失,而且还给我带来了巨大的精神痛苦,而这些是多少金钱都无法衡量的。
现在,我终于有这个机会了。我正式向日本政府提出索赔要求,赔偿我母亲的生命!赔偿我七个月男孩的生命!赔偿我健康的身体!赔偿我这几次日军飞机轰炸所损失的财产!
现在我有两个儿子:
长子:荐长城,现年61岁,现住辽宁省本溪市,溪湖区华东街九组118栋1号。
次子:荐长顺,现年50岁,现住辽宁省本溪市,溪湖区矿新街十四组二十三栋之9号。
庄树蕙口述,次子荐长顺代笔。
口述人:庄树蕙
一九九三年十一月十八日
平民受害者向日本国索赔书
原告:庄树惠,女性,中华人民共和国公民,汉族,现年88岁,现住中国辽宁省本溪市溪湖区矿新街11组,通讯处:辽宁省本溪市明山区工农路新立屯地震办公室宋贤志转收。
庄树惠如不能实行原告行为时,由荐长城、荐长顺(母子关系)负责全权代理人。
被告:日本国政府
起诉案由:日本国在第二次世界大战中,一九三七年卢沟桥事变后,日本军用飞机狂轰滥炸河北省高邑县火车站,造成原告其母、其子死亡,财产损失惨重,原告患上心脏病和精神病及大小便失禁症;一九三八年春天,日本军用飞机轰炸河南省郑州火车站,造成原告财产损失严重;一九四〇年,日本军用飞机轰炸河南省韩营子,造成原告财产损失严重。要求被告赔偿死亡二人,伤一人及财产损失。
原告系国民党抗日军队家属,住在后方留守处,并随之迁移。在河北省高邑县火车站,河南省郑州火车站和河南省韩营子时,遭到日本军用飞机的狂轰滥炸,造成原告母亲及儿子死亡,原告身心受到严重伤害及财产的损失。现分述如下:
一、三七年“卢沟桥事变”后的秋天,原告随国民党63军91师546团留守处由河北省赵县往河南省迁移,途径河北省高邑县火车站,往火车上搬行李时,遭到日本军用飞机轰炸,机关炮扫射,造成原告的母亲及七个月的儿子当场被炸死,财产被炸毁,其中有狐狸皮、西羊皮、紫羔皮大长袍各一件,黑呢子大衣两件、驼绒女式大衣一件、火狐狸围脖五条、水獭帽子一顶、前苏联式女式大衣一件,以及被褥、单衣、棉衣等。并造成原告患上心脏病、精神病及大小便失禁症。
二、一九三八年农历正月,原告随国民党63军91师546团留守处从河南省临颖县往凤翔县迁移。径郑州火车站换车。到郑州火车站下了火车,搬运行李时,遭到日本军用飞机轰炸,造成原告病情加重,财产大量损失,其中有黄金首饰52小两,银大洋两千三百元,以及服装、被褥等。
三、一九四〇年五月末,原告随豫南师管区第一团(负责训练新兵)留守处由河南省南阳府羊馆营迁移到河南省韩营子。在韩营子生活时,遭到日军军用飞机轰炸,造成原告财产损失。其中有黄呢子男式大衣一件,黑色呢子大衣一件、缎子棉衣、单衣、被褥等几件。
四、被日本军军用飞机炸死人员及财产损失,要求赔偿统计如下:
死亡伤残的赔偿,参照上海铁路事故,中国对日本的死亡赔偿:男一人赔偿5万美元,女一人赔偿4.5万美元,伤残一人赔偿3万美元,要求被告赔偿原告儿子死亡5万美元,母亲死亡4.5万美元,原告所患精神病、心脏病、大小便失禁症所支付的医疗费及疗养费要求赔偿3万美元。共计12.5万美元;
黄金52小两,一两折合336美元,赔偿17472美元;
银元2300元,100银元折合黄金一两,赔偿7728美元;
狐狸皮大长袍一件:赔偿损失1000美元;
西羊皮大长袍一件:赔偿800美元;
紫羔皮大长袍一件:赔偿800美元;
黑呢子大衣三件:赔偿300美元;
驼绒女式大衣一件:赔偿800美元;
火狐狸围脖五条:赔偿10000美元;
水獭帽子一顶:赔偿800美元;
前苏联式女式皮毛大衣一件:赔偿800美元;
黄呢子男式大衣一件:赔偿100美元;
缎子、单衣、棉衣、被褥等:赔偿1000美元
共计:166600美元。
四、按照以上事实,根据国际法规及国际赔偿惯例,原告人要求被告进行民间受害赔偿。理由如下:
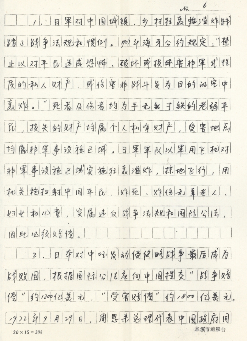
1、日军对中国城镇、乡村狂轰滥炸践踏了战争法规和惯例。1907年海牙公约规定:“禁止以对平民造成恐怖、破坏或损害非军式性质的私人财产或伤害非战斗员为目的的空中轰炸。”死者及伤者均为手无寸铁的老弱平民,损失的财产均属个人私有财产,受害地点均属非军事设施区域。日军军队以军用飞机对非军事设施区域实施狂轰滥炸,掠地飞行,用机关枪扫射中国平民,炸死、炸伤无辜老人、妇女和儿童,实属违反战争法规和国际公法,因此必须赔偿。
2、日本对中国发动侵略战争最后成为战败国,根据国际公法应向中国提交“战争赔偿”约1200亿美元,“受害赔偿”约1800亿美元。1972年9月29日,周恩来总理代表中国政府同日本政府签订联合声明,为了中日友好,中国自愿放弃日本应支付的“战争赔偿”,但从未放弃日本国应交付给中国的“受害赔偿”。
中国外交部发言人在1992年3月11日发明声明说,日中战争中的民间受害者,可以直接要求日本赔偿损失。
1992年4月1日江泽民总书记赴日访问前答日本记者时也阐述了中国政府的立场:“放弃国家要求日本给予的战争损失赔偿。但是,对民间要求赔偿的动向不加限制。”
“战争赔偿”是指战败国给战胜国在政府之间进行的赔偿;“受害赔偿”是指发动侵略的战败国,由所属的军队或个人违反战争法规和人道原则,对它国人民的生命财产犯下的严重罪行,必须由发动侵略而为战败国的国家来承担的赔偿。——两者不能相提并论,不能混为一谈。因此,日本政府以1972年日中联合声明为借口扬言说,日本与中国之间的损失赔偿问题已全部解决的说法是片面的,是不符合事实的。应当要把“战争赔偿”与“受害赔偿”分开。
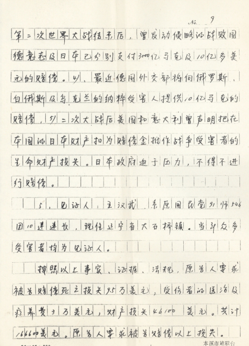
3、侵华战争亦即第二次世界大战。该战争结束后,根据《雅尔塔协议》、《开罗宣言》、《波茨坦公告》等国际公法,发动侵略的战败国应对各战胜国支付战争赔偿和受害赔偿。日本为发动侵华战争的战败国,应对中国民间受害者支付受害赔偿。
4、事例:1)1990年8月,九名日本老人已收到由日本侨民向美国侨民及日裔加入,已向加拿大政府索回3亿加元的受害赔偿。3)第二次世界大战结束后,曾发动侵略的战败国德意志及日本已分别支付3000亿马克及10亿多美元的赔偿。4)最近德国外交部将向俄罗斯、白俄罗斯及乌克兰的纳粹受害人提供10亿马克的赔偿,5)二次大战后美国和意大利曾声明把在本国的日本财产扣为赔偿金抵作战争受害者的生命财产损失。日本政府迫于压力,不得不进行赔偿。
5、见证人:王汉武,系原国民党91师546团10连连长,现住辽宁省大石桥镇。当年众多受害者均为见证人。
按照以上事实、证据、法规,原告人要求被告赔偿死亡损失9.5万美元;受伤者的医治及疗养费3万美元;财产损失46100美元。共计166600美元。原告人要求被告赔偿以上损失。
6、本诉状敬谨委托童增先生在北京代理有关事宜。
投诉时间:1993年11月20日
此致
日本国驻中国大使馆转交日本国政府
附件:原告人口述材料一份。






































